• If 2 sets of data are related, they are said to be correlated
  • There can be:
    • no correlation
    • negative correlation
    • positive correlation

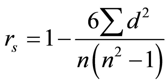
rₛ = rank coefficient n = number of pairs D = difference between ranks

  • the result must be between -1 and 1
  • rₛ value of +1 shows a perfect positive correlation
  • -1 shows a perfect negative correlation
  • 0 shows no correlation

‎‎